专供锅炉、石化用高压无缝钢管电话:13102008542、022-26926620
天津国威钢铁贸易有限公司 联系人:周良
13102008542
手 机: 13102008542
电 话:022-26926620
email:201203626@qq.com
SolidWorks Simulation解决钢管堆放难题
摘要: 通过对钢管进行受力分析,解决实际钢管堆放变形问题;
在石油传输管道中,我们看到,几百公里的管道,其实是一根一根(10米/根,也许还有其他长度)焊接出来的;
那么,问题就出现了,在这么多钢管运输和摆放的时候,问题就显出了;
钢管不可能水平一根根摆在那,一定很涉及到堆放, 而如果堆放层数少了,那么,就太占地方;
但是,如果层数多了,最下层受力就很大,就会产生变形,所以,堆几层为合适值?这是我们要考虑的;
那么,我们就先考虑下模型是如何建立的:
1、我们先考虑大概思路,简图如下:
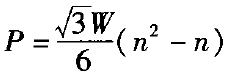
2、通过这个简图,我们大致可以了解,最下层管的受力情况,是来自上方管的压力,所以,可大概得到下面方程:
3、根据这些已知情况,我们大概可以得到如下边界条件:
4、在SolidWorks Simulation中,我们可以使用平面2D简化来计算;(因为,管子长度可以随意,所以,我们大概可以计算1米,10米均可以)
5、计算后,我们可以得出位移结果;
在本例中,最下层管的变形量是我们要关心的问题,当然,也有相关规定,变形量不能超多少;
结论:根据此例,我们可以发现,使用SolidWorks Simulation可以很快将问题简化并且得出结果;(本例,从构思到得出结果,大概用了20分钟)
再根据实际实验做个对比,发现,同等安全系数下(保守些),和实际结果还是相差无几的;